مع sahiko hamza راديو اللمة يعود اليكم



ههههههههههه زهرة الندى + سلسبيل + أماني نوكاتي = 0 هههههههه حلوهالي ماعرفتش لول​


ههههههههههههههههه معادلة هايلة صحيتي الفحلة :d

هههههه أه يا الرياضيات نحبها ونموت عليها مي المعادلة تاع قبيل مالقيتلهاش حل


وي كيما انا خلي نجرب نحل المعادلة وايدا مقدرتش عاونوني خخخخخخخخخخخخ
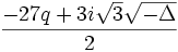
باستعمال طريقة كاردان لحل المعادلة من الدرجة الاولى :
9d36a45019084bc3f863e20fd924ac3c.png

نفرض ان :
اماني نوكاتي = X
زهرة الندى =P
سلسبيل= q
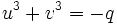
بالنسبة للمعادلة:
fc2b58fd567997a7cee66cab84ac4ba4.png
نحسب
4c70cf2a4b95a003e0ec6e1fd918f9ba.png
, ثم ندرس إشارته Δ موجب




  • e76173bddab23ed6f1463eeadfba1f63.png
  • 776d66c636ff663c007070db4c11789f.png
  • الحل الوحيد الحقيقي هو :

1acdf29f701389496168858ae1231915.png



يوجد عدد عقدي u الذي هو جذر مكعب ل
03bdfb424be91b20339aeb187f6554bc.png

ادن


المعادلة تقبل ثلاث حلول حقيقية:

  • d65dd179ae430b4050314cfc59ab67a6.png
  • ade3257c1b2ab199be4639f21a1207c8.png
  • 65744a8e20b5c7d89f77eaffc875692b.png
  • 485864024f394818dae85414a88013d8.png

تتحول هذه المعادلة إلى الشكل:
81db6ead67cac50dec36e4bfa52f767e.png
شرط التبسيط يكون إذن:
ec8930b016d3d442067267e37059d022.png
الذي يعطي من جهة:
54d10bc1db3d4903c113134d441402b1.png


و من جهة أخرى:
fb1300947af438fee54b0315965e70ca.png


و عند رفع العددين إلى القوة 3, نحصل على:
1fce021e3739a7137d47bc82d058a9a3.png


و نحصل أخيرا على نظمة معادلتين لمجهولين u3 و v3 الآتية :
7cc9ad2a9e35f3d6027c460992717de4.png

1fce021e3739a7137d47bc82d058a9a3.png

u3 et v3 هما إذن عددين نعرف جمعهما و جذاءهما. هذين العددين هما جذرا المعادلة من الدرجة الثانية:
c5c83891567aeeed9e5bb3fcafbb7470.png

ياهوووووووووووووووووووووووووووو وفتحت المعادلة خخخخخخخخخخخخخخ:d


وانآ قلت لمهبولة 2 وآش رآحت تدير

ههههههه

يخآه وآش هدآ p قوه 3 / 27

ههههه

بيآآن معدلتنآ تهببببببببببببببببببببببببببببل

:$

سلسبيل هديكـ 27 همآ توآئمـ اللي قعدو من 40 خخخ
 
ههههههههههه أحممم كاين أمور ماقريناهمش حنا مافهمتهمش وكاين أمور فهمتهم كيما هدا كارادان جامي سمعت بيه ههههههه لول
ههههههههههه راكي سمعتيه من عند اماني لمهبولة خخخخخخ

ياو زهرة الندى مقسومة على عدد :d:d ضحكتني حنا 2 ايكسات و هي مقسومة على عدد ههههههههههههه ياخي حالة ياخي
خخخخخخخخخ كلش ماشي معايا نجيب معادلة خاصة بينا احنا برك واحد مايعرفها ههههه:d

أيا وتحية للمعادلة الجميلة تاعنا هههههه
وي تحية كبيرة لينا ولمعادلتنا العجيبة خخخخخخخخخخخخخ :d:p:p
 

وانآ قلت لمهبولة 2 وآش رآحت تدير

ههههههه

يخآه وآش هدآ p قوه 3 / 27

ههههه

بيآآن معدلتنآ تهببببببببببببببببببببببببببببل

:$

سلسبيل هديكـ 27 همآ توآئمـ اللي قعدو من 40 خخخ

هههههههههه معادلتنا هايلة ووالو ماخصها برك 27 هادوك نورمالمو 37 ماش 27 :p باش يكمل المعنى
 
توقيع همس الوُرود

وانآ قلت لمهبولة 2 وآش رآحت تدير

ههههههه
خخخخخخخخخخخخخخ راني غير هنا معاكم
اكتشف شيئا خاص بنا نحن التلاتة فقط هيهيههيهييهي:d

يخآه وآش هدآ p قوه 3 / 27

ههههه
خخخخخ:d

بيآآن معدلتنآ تهببببببببببببببببببببببببببببل

:$
وي تهبل بزاااف خخخخ

سلسبيل هديكـ 27 همآ توآئمـ اللي قعدو من 40 خخخ
صحيتي صحيتي الشاطرة تاعي اديك هيا بعد خخخخخخ:d
تبا كم نحن رائعاااات هههههههههههههههههه:d
 
[SIZE=5]وي تحية كبيرة لينا ولمعادلتنا العجيبة خخخخخخخخخخخخخ :d:p:p[/SIZE]

هههههههه ياو بدلي 27 ل 37 وديري روحك ما شفتي والو :p


وأنا نقول واقيلا هادي تقرا فالجامعة مافهمت والو غير ديلثا و + و - و ايكس ههههههه لول

سيبووون رفع عنك القلم مهبولة صح ههههههه
 
توقيع همس الوُرود
هههههههههه معادلتنا هايلة ووالو ماخصها برك 27 هادوك نورمالمو 37 ماش 27 :p باش يكمل المعنى
خخخخخخخخخخخخخخخخخ وي اديك هيا بعد راني غلط برك وكتب 27 تلفتلي 3 مع 2 خخخخخ
تبا لي من روعتكم نسيت الارقام خخخخ:d
 
توقيع همس الوُرود
خخخخخخخخخخخخخخخخخ وي اديك هيا بعد راني غلط برك وكتب 27 تلفتلي 3 مع 2 خخخخخ
تبا لي من روعتكم نسيت الارقام خخخخ:d

تلفناهالك ثالمون بقيتي غير تخممي فالروعة تاعنا

ههههه ياو أماني و زهرة هاياو والله غير نهربو دوك ههههههه لا يزيدو يحكمونا ندردشو لول:d
 
توقيع همس الوُرود
وجميلات أيضا ما شاء الله يزيدو يعاينونا هههههه :$​
ربي يبارك علينا خمسة وخموس ماشاء الله ربي يبعد علينا العين خخخخخ :d
 
تلفناهالك ثالمون بقيتي غير تخممي فالروعة تاعنا
وي شفتي سرقتم لي عقلي خخخ

ههههه ياو أماني و زهرة هاياو والله غير نهربو دوك ههههههه لا يزيدو يحكمونا ندردشو لول:d
هيا لنهرب ستبدأ المعركة ان اكتشفوا امرنا هنا ندردش هروووووووووووووووب اتخباو بعيد كل وحدة في جيهة سيبقى الاتصال بيننا ان كان هناك شيء خخخخخخخ:d
 
تبا كم نحن رائعاااات هههههههههههههههههه:d

وجميلات أيضا ما شاء الله يزيدو يعاينونا هههههه :$​


تبآ لنآ نحن أحلى من العسل تآني

خخخخ

ربي يبعد علينآ العين الله يبآآآركـ خمسسسسسسسسسسسسسسسة في عيون الغآشي :p
 
ربي يبارك علينا خمسة وخموس ماشاء الله ربي يبعد علينا العين خخخخخ :d

هههههههه آميييييين ان شاء الله :$:$
 
توقيع همس الوُرود
هيا لنهرب ستبدأ المعركة ان اكتشفوا امرنا هنا ندردش هروووووووووووووووب اتخباو بعيد كل وحدة في جيهة سيبقى الاتصال بيننا ان كان هناك شيء خخخخخخخ:d


يآو دركـ يحكمنآ الرآدآر اهربو

خخخخخ

تبآ لنآ جريئآت أيضآ خخخ
 
هيا لنهرب ستبدأ المعركة ان اكتشفوا امرنا هنا ندردش هروووووووووووووووب اتخباو بعيد كل وحدة في جيهة سيبقى الاتصال بيننا ان كان هناك شيء خخخخخخخ:d


ههههههه انبطحوووووووووووووو انهم يرمون علينا السهاااااام

:regards01: :regards01: :regards01:شفتوووووو؟؟ ههههه بااااباااابااابااا جاز تحت الشابو تاعنا

تبا تبا تبا كم نحن مدهلات ورشيقات أيضا
 
توقيع همس الوُرود
يآو دركـ يحكمنآ الرآدآر اهربو

خخخخخ

تبآ لنآ جريئآت أيضآ خخخ

هههههههه من قبيل وأحنا عقاب كلمة أهربو و حنا باقيين في بلاصتنا

ياخي حالة عنيدات لآخر درجة تبااااااااااااااااااااااااااااا :d

 
توقيع همس الوُرود
هههههههه من قبيل وأحنا عقاب كلمة أهربو و حنا باقيين في بلاصتنا

ياخي حالة عنيدات لآخر درجة تبااااااااااااااااااااااااااااا :d


رآئعآت جريئآت جميلآت حلوآت عنيدآت مشآكسآت

وهل من منآفس لنآ ،، لآ طبعآ لآيوجد منآ إلآ ثلآث خخخخخ

تحية اللي رآهمـ لتحت يكتشفو في توأمـ الثلآثي
 
رآئعآت جريئآت جميلآت حلوآت عنيدآت مشآكسآت

وهل من منآفس لنآ ،، لآ طبعآ لآيوجد منآ إلآ ثلآث خخخخخ

تحية اللي رآهمـ لتحت يكتشفو في توأمـ الثلآثي

هههههههه واو ما هدا الكلام اللدي يحبس الأنفاس و يخرجنا من ورطة الحباس

بعدما حييتي الأعضاء الي يكتشفو كم نحن مدهلات ثلاثي المشاكسات


هههههههههههههه أيا تحية لهادو الناس :p

 
توقيع همس الوُرود
يآو دركـ يحكمنآ الرآدآر اهربو

خخخخخ
اي رادار هدا اللدي تتكلمين عنه
ياحوجيانا يوجد هنا رادار ياالاهي سيكشف امري خخخخخ

تبآ لنآ جريئآت أيضآ خخخ
جريئات كتيرا :p


ههههههه انبطحوووووووووووووو انهم يرمون علينا السهاااااام
لقد انبطحت لكن سهما اصابني مادا افعل الآن:d

:regards01: :regards01: :regards01:شفتوووووو؟؟ ههههه بااااباااابااابااا جاز تحت الشابو تاعنا
خخخخخخخخخخخخخ

تبا تبا تبا كم نحن مدهلات ورشيقات أيضا
نعم تبا تبا تبا تبا خخخخخخخخخخخخخ
هههههههه من قبيل وأحنا عقاب كلمة أهربو و حنا باقيين في بلاصتنا
لااستطيع الهروب انا لااخاف ههههه:d

ياخي حالة عنيدات لآخر درجة تبااااااااااااااااااااااااااااا :d

نعم عنيدات وقويات وشجاعات لأقسى درجة ههههههههههههههههههههههه تبااا :d
 
جريئات كتيرا :p


نعم تبا تبا تبا تبا خخخخخخخخخخخخخ

نعم عنيدات وقويات وشجاعات لأقسى درجة ههههههههههههههههههههههه تبااا :d

هههههههههههه أحممممم أحمممم :$ الله بارك ربي يخلينا لبعضانا ان شاء الله نحن مدهلات اللمة :d وأشرارها :p

 
توقيع همس الوُرود
تنبيه: نظرًا لتوقف النقاش في هذا الموضوع منذ 365 يومًا.
قد يكون المحتوى قديمًا أو لم يعد مناسبًا، لذا يُنصح بإشاء موضوع جديد.
العودة
Top Bottom