reaction
114
الجوائز
9
- تاريخ التسجيل
- 16 ديسمبر 2011
- المشاركات
- 152
- آخر نشاط
- تاريخ الميلاد
- 18 جوان
سلام انشاء الله تكونوا بالف خيير
عندي واجب منزلي في الرياضيات هل من مساعد وجزاكم اللله خيرا


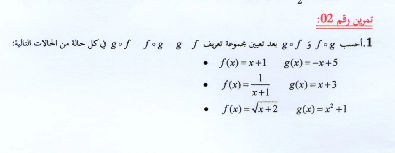
التمارينات هي https://www.4algeria.com/vb/attachment.php?attachmentid=45653&stc=1&d=1382784668
https://www.4algeria.com/vb/attachment.php?attachmentid=45654&stc=1&d=1382784668
https://www.4algeria.com/vb/attachment.php?attachmentid=45655&stc=1&d=1382784668
عندي واجب منزلي في الرياضيات هل من مساعد وجزاكم اللله خيرا
التمارينات هي https://www.4algeria.com/vb/attachment.php?attachmentid=45653&stc=1&d=1382784668
https://www.4algeria.com/vb/attachment.php?attachmentid=45654&stc=1&d=1382784668
https://www.4algeria.com/vb/attachment.php?attachmentid=45655&stc=1&d=1382784668