نهايات صعبة بعض الشيء...خاص رياضي

farah3131

:: عضو منتسِب ::
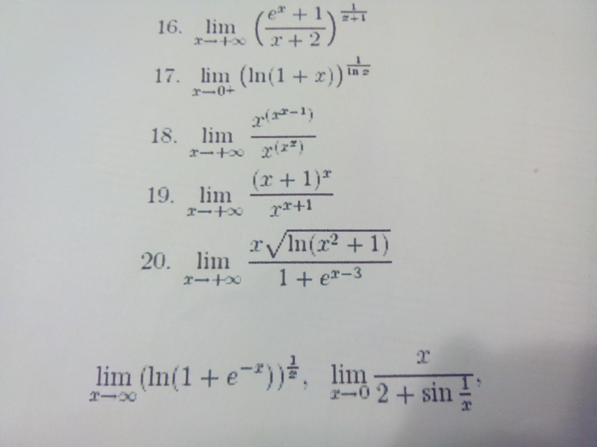
أريد حل لهذه النهايات صعبة بعض الشيء
خاص رياضي
 

المرفقات

  • PicsArt_1421268394924.webp
    PicsArt_1421268394924.webp
    146 KB · المشاهدات: 30
أريد 17 / 18 /19
من فضلكم :)
 
تنبيه: نظرًا لتوقف النقاش في هذا الموضوع منذ 365 يومًا.
قد يكون المحتوى قديمًا أو لم يعد مناسبًا، لذا يُنصح بإشاء موضوع جديد.
العودة
Top Bottom